Biological Stats 2: Lecture 3

Dr. Gavin Fay

01/24/2023

Data exploration, checking

Acknowledgements: Mine Çetinkaya-Rundel, Amanda Hart, Sara Stoudt

Chapter 4. Data Exploration

  1. What’s in a data set?
  2. Summarizing & visualizing data
  3. Outliers, transformations, standardizations
  4. Final thoughts

What is in a dataset?

Dataset terminology

  • Each row is an observation
  • Each column is a variable
starwars
# A tibble: 87 × 14
   name     height  mass hair_color skin_color eye_color birth_year sex   gender
   <chr>     <int> <dbl> <chr>      <chr>      <chr>          <dbl> <chr> <chr> 
 1 Luke Sk…    172    77 blond      fair       blue            19   male  mascu…
 2 C-3PO       167    75 <NA>       gold       yellow         112   none  mascu…
 3 R2-D2        96    32 <NA>       white, bl… red             33   none  mascu…
 4 Darth V…    202   136 none       white      yellow          41.9 male  mascu…
 5 Leia Or…    150    49 brown      light      brown           19   fema… femin…
 6 Owen La…    178   120 brown, gr… light      blue            52   male  mascu…
 7 Beru Wh…    165    75 brown      light      blue            47   fema… femin…
 8 R5-D4        97    32 <NA>       white, red red             NA   none  mascu…
 9 Biggs D…    183    84 black      light      brown           24   male  mascu…
10 Obi-Wan…    182    77 auburn, w… fair       blue-gray       57   male  mascu…
# … with 77 more rows, and 5 more variables: homeworld <chr>, species <chr>,
#   films <list>, vehicles <list>, starships <list>

Luke Skywalker

What’s in the Star Wars data?

Take a glimpse at the data:

glimpse(starwars)
Rows: 87
Columns: 14
$ name       <chr> "Luke Skywalker", "C-3PO", "R2-D2", "Darth Vader", "Leia Or…
$ height     <int> 172, 167, 96, 202, 150, 178, 165, 97, 183, 182, 188, 180, 2…
$ mass       <dbl> 77.0, 75.0, 32.0, 136.0, 49.0, 120.0, 75.0, 32.0, 84.0, 77.…
$ hair_color <chr> "blond", NA, NA, "none", "brown", "brown, grey", "brown", N…
$ skin_color <chr> "fair", "gold", "white, blue", "white", "light", "light", "…
$ eye_color  <chr> "blue", "yellow", "red", "yellow", "brown", "blue", "blue",…
$ birth_year <dbl> 19.0, 112.0, 33.0, 41.9, 19.0, 52.0, 47.0, NA, 24.0, 57.0, …
$ sex        <chr> "male", "none", "none", "male", "female", "male", "female",…
$ gender     <chr> "masculine", "masculine", "masculine", "masculine", "femini…
$ homeworld  <chr> "Tatooine", "Tatooine", "Naboo", "Tatooine", "Alderaan", "T…
$ species    <chr> "Human", "Droid", "Droid", "Human", "Human", "Human", "Huma…
$ films      <list> <"The Empire Strikes Back", "Revenge of the Sith", "Return…
$ vehicles   <list> <"Snowspeeder", "Imperial Speeder Bike">, <>, <>, <>, "Imp…
$ starships  <list> <"X-wing", "Imperial shuttle">, <>, <>, "TIE Advanced x1",…

How many rows and columns does this dataset have? {.question}

nrow(starwars) # number of rows
[1] 87
ncol(starwars) # number of columns
[1] 14
dim(starwars)  # dimensions (row column)
[1] 87 14

Exploratory data analysis

What is EDA?

  • Exploratory data analysis (EDA) is an approach to analysing data sets to summarize its main characteristics
  • Often, this is visual – this is what we’ll focus on first
  • But we might also calculate summary statistics and perform data wrangling/manipulation/transformation at (or before) this stage of the analysis

Mass vs. height

How would you describe the relationship between mass and height of Starwars characters? What other variables would help us understand data points that don’t follow the overall trend? Who is the not so tall but chonky character?

Jabba!

quartz_off_screen 
                2 

Basic questions

  • Where are the data centered?

  • How are they spread? Are they symmetric, skewed, multimodal?

  • Are there outliers?

  • How are the data distributed?

  • Are there relationships among variables? Are relationships linear? Which analyses should be applied?

  • Are transformations needed?

  • Was the sampling effort approximately the same for each observation or variable?

Expecting >20% of your research time (often more) exploring your data makes analysis easier and more efficient.

Always plot your data!

  • Visualizing your data is key to performing statistical analyses.

  • ‘Standard’ summaries of data may not reveal patterns.

  • You will often create two types of figures:

    • Those that help you

    • Those that help your audience.

Extra Credit:

The ‘datasaurus’ is lurking somewhere in this course. Find it and email Gavin with its location and identifying analysis.

Data visualization

“The simple graph has brought more information to the data analyst’s mind than any other device.” — John Tukey

  • Data visualization is the creation and study of the visual representation of data
  • Many tools for visualizing data – R is one of them
  • Many approaches/systems within R for making data visualizations – ggplot2 is one of them, and that’s what we’re going to use.

Why do we visualize?

Anscombe’s quartet

   set  x     y
1    I 10  8.04
2    I  8  6.95
3    I 13  7.58
4    I  9  8.81
5    I 11  8.33
6    I 14  9.96
7    I  6  7.24
8    I  4  4.26
9    I 12 10.84
10   I  7  4.82
11   I  5  5.68
12  II 10  9.14
13  II  8  8.14
14  II 13  8.74
15  II  9  8.77
16  II 11  9.26
17  II 14  8.10
18  II  6  6.13
19  II  4  3.10
20  II 12  9.13
21  II  7  7.26
22  II  5  4.74
   set  x     y
23 III 10  7.46
24 III  8  6.77
25 III 13 12.74
26 III  9  7.11
27 III 11  7.81
28 III 14  8.84
29 III  6  6.08
30 III  4  5.39
31 III 12  8.15
32 III  7  6.42
33 III  5  5.73
34  IV  8  6.58
35  IV  8  5.76
36  IV  8  7.71
37  IV  8  8.84
38  IV  8  8.47
39  IV  8  7.04
40  IV  8  5.25
41  IV 19 12.50
42  IV  8  5.56
43  IV  8  7.91
44  IV  8  6.89

Summarising Anscombe’s quartet

quartet %>%
  group_by(set) %>%
  summarise(
    mean_x = mean(x),
    mean_y = mean(y),
    sd_x = sd(x),
    sd_y = sd(y),
    r = cor(x, y)
  )
# A tibble: 4 × 6
  set   mean_x mean_y  sd_x  sd_y     r
  <fct>  <dbl>  <dbl> <dbl> <dbl> <dbl>
1 I          9   7.50  3.32  2.03 0.816
2 II         9   7.50  3.32  2.03 0.816
3 III        9   7.5   3.32  2.03 0.816
4 IV         9   7.50  3.32  2.03 0.817

Visualizing Anscombe’s quartet

Data: Palmer Penguins

Measurements for penguin species, on islands in Palmer Archipelago, size (flipper length, body mass, bill dimensions), and sex. Horst et al. 2022. R Journal

library(palmerpenguins)
glimpse(penguins)
Rows: 344
Columns: 8
$ species           <fct> Adelie, Adelie, Adelie, Adelie, Adelie, Adelie, Adel…
$ island            <fct> Torgersen, Torgersen, Torgersen, Torgersen, Torgerse…
$ bill_length_mm    <dbl> 39.1, 39.5, 40.3, NA, 36.7, 39.3, 38.9, 39.2, 34.1, …
$ bill_depth_mm     <dbl> 18.7, 17.4, 18.0, NA, 19.3, 20.6, 17.8, 19.6, 18.1, …
$ flipper_length_mm <int> 181, 186, 195, NA, 193, 190, 181, 195, 193, 190, 186…
$ body_mass_g       <int> 3750, 3800, 3250, NA, 3450, 3650, 3625, 4675, 3475, …
$ sex               <fct> male, female, female, NA, female, male, female, male…
$ year              <int> 2007, 2007, 2007, 2007, 2007, 2007, 2007, 2007, 2007…

Palmer Penguins

ggplot(data = penguins,
       mapping = aes(x = bill_depth_mm, y = bill_length_mm,
                     colour = species)) +
  geom_point() +
  labs(title = "Bill depth and length",
       subtitle = "Dimensions for Adelie, Chinstrap, and Gentoo Penguins",
       x = "Bill depth (mm)", y = "Bill length (mm)",
       colour = "Species") +
  scale_color_viridis_d()

Faceting (small multiples)

  • Smaller plots that display different subsets of the data
  • Useful for exploring conditional relationships and large data
ggplot(penguins, aes(x = bill_depth_mm, y = bill_length_mm)) +
  geom_point() +
  facet_grid(species ~ island) #<<

Various ways to facet

How you facet and organize plots can strengthen (& weaken) the storytelling.

Think about the comparisons you are trying to make or message your plot is intending to convey and choose visualizations that help understanding.

Likely you will want to try different views, particularly when exploring the data initially.

ggplot(penguins, aes(x = bill_depth_mm, y = bill_length_mm)) +
  geom_point() +
  facet_grid(species ~ sex) #<<

Facet and color

ggplot(
  penguins,
  aes(x = bill_depth_mm,
      y = bill_length_mm,
      color = species)) + #<<
  geom_point() +
  facet_grid(island ~ year) +
  scale_color_viridis_d() #<<

Number of variables involved

  • Univariate data analysis - distribution of single variable
  • Bivariate data analysis - relationship between two variables
  • Multivariate data analysis - relationship between many variables at once, often focusing on the relationship between two while conditioning for others

Types of variables

  • Numerical variables can be classified as continuous or discrete based on whether or not the variable can take on an infinite number of values or only non-negative whole numbers, respectively.
  • If the variable is categorical, we can determine if it is ordinal based on whether or not the levels have a natural ordering.

Group exercise

Plot Description Practice

With your group’s plot, discuss and answer the following questions:

  • What type of graph is it?
  • What is being plotted?
  • How would you describe the distribution or trend of the data?
  • What question is the plot trying to answer?
  • Do you think the plot is successful in answering that question? Why or why not?

Data: Lending Club

  • Thousands of loans made through the Lending Club, which is a platform that allows individuals to lend to other individuals

  • Not all loans are created equal – ease of getting a loan depends on (apparent) ability to pay back the loan

  • Data includes loans made, these are not loan applications

Take a peek at data

library(openintro)
glimpse(loans_full_schema)
Rows: 10,000
Columns: 55
$ emp_title                        <chr> "global config engineer ", "warehouse…
$ emp_length                       <dbl> 3, 10, 3, 1, 10, NA, 10, 10, 10, 3, 1…
$ state                            <fct> NJ, HI, WI, PA, CA, KY, MI, AZ, NV, I…
$ homeownership                    <fct> MORTGAGE, RENT, RENT, RENT, RENT, OWN…
$ annual_income                    <dbl> 90000, 40000, 40000, 30000, 35000, 34…
$ verified_income                  <fct> Verified, Not Verified, Source Verifi…
$ debt_to_income                   <dbl> 18.01, 5.04, 21.15, 10.16, 57.96, 6.4…
$ annual_income_joint              <dbl> NA, NA, NA, NA, 57000, NA, 155000, NA…
$ verification_income_joint        <fct> , , , , Verified, , Not Verified, , ,…
$ debt_to_income_joint             <dbl> NA, NA, NA, NA, 37.66, NA, 13.12, NA,…
$ delinq_2y                        <int> 0, 0, 0, 0, 0, 1, 0, 1, 1, 0, 0, 0, 0…
$ months_since_last_delinq         <int> 38, NA, 28, NA, NA, 3, NA, 19, 18, NA…
$ earliest_credit_line             <dbl> 2001, 1996, 2006, 2007, 2008, 1990, 2…
$ inquiries_last_12m               <int> 6, 1, 4, 0, 7, 6, 1, 1, 3, 0, 4, 4, 8…
$ total_credit_lines               <int> 28, 30, 31, 4, 22, 32, 12, 30, 35, 9,…
$ open_credit_lines                <int> 10, 14, 10, 4, 16, 12, 10, 15, 21, 6,…
$ total_credit_limit               <int> 70795, 28800, 24193, 25400, 69839, 42…
$ total_credit_utilized            <int> 38767, 4321, 16000, 4997, 52722, 3898…
$ num_collections_last_12m         <int> 0, 0, 0, 0, 0, 0, 0, 0, 0, 0, 0, 0, 0…
$ num_historical_failed_to_pay     <int> 0, 1, 0, 1, 0, 0, 0, 0, 0, 0, 1, 0, 0…
$ months_since_90d_late            <int> 38, NA, 28, NA, NA, 60, NA, 71, 18, N…
$ current_accounts_delinq          <int> 0, 0, 0, 0, 0, 0, 0, 0, 0, 0, 0, 0, 0…
$ total_collection_amount_ever     <int> 1250, 0, 432, 0, 0, 0, 0, 0, 0, 0, 0,…
$ current_installment_accounts     <int> 2, 0, 1, 1, 1, 0, 2, 2, 6, 1, 2, 1, 2…
$ accounts_opened_24m              <int> 5, 11, 13, 1, 6, 2, 1, 4, 10, 5, 6, 7…
$ months_since_last_credit_inquiry <int> 5, 8, 7, 15, 4, 5, 9, 7, 4, 17, 3, 4,…
$ num_satisfactory_accounts        <int> 10, 14, 10, 4, 16, 12, 10, 15, 21, 6,…
$ num_accounts_120d_past_due       <int> 0, 0, 0, 0, 0, 0, 0, NA, 0, 0, 0, 0, …
$ num_accounts_30d_past_due        <int> 0, 0, 0, 0, 0, 0, 0, 0, 0, 0, 0, 0, 0…
$ num_active_debit_accounts        <int> 2, 3, 3, 2, 10, 1, 3, 5, 11, 3, 2, 2,…
$ total_debit_limit                <int> 11100, 16500, 4300, 19400, 32700, 272…
$ num_total_cc_accounts            <int> 14, 24, 14, 3, 20, 27, 8, 16, 19, 7, …
$ num_open_cc_accounts             <int> 8, 14, 8, 3, 15, 12, 7, 12, 14, 5, 8,…
$ num_cc_carrying_balance          <int> 6, 4, 6, 2, 13, 5, 6, 10, 14, 3, 5, 3…
$ num_mort_accounts                <int> 1, 0, 0, 0, 0, 3, 2, 7, 2, 0, 2, 3, 3…
$ account_never_delinq_percent     <dbl> 92.9, 100.0, 93.5, 100.0, 100.0, 78.1…
$ tax_liens                        <int> 0, 0, 0, 1, 0, 0, 0, 0, 0, 0, 0, 0, 0…
$ public_record_bankrupt           <int> 0, 1, 0, 0, 0, 0, 0, 0, 0, 0, 1, 0, 0…
$ loan_purpose                     <fct> moving, debt_consolidation, other, de…
$ application_type                 <fct> individual, individual, individual, i…
$ loan_amount                      <int> 28000, 5000, 2000, 21600, 23000, 5000…
$ term                             <dbl> 60, 36, 36, 36, 36, 36, 60, 60, 36, 3…
$ interest_rate                    <dbl> 14.07, 12.61, 17.09, 6.72, 14.07, 6.7…
$ installment                      <dbl> 652.53, 167.54, 71.40, 664.19, 786.87…
$ grade                            <ord> C, C, D, A, C, A, C, B, C, A, C, B, C…
$ sub_grade                        <fct> C3, C1, D1, A3, C3, A3, C2, B5, C2, A…
$ issue_month                      <fct> Mar-2018, Feb-2018, Feb-2018, Jan-201…
$ loan_status                      <fct> Current, Current, Current, Current, C…
$ initial_listing_status           <fct> whole, whole, fractional, whole, whol…
$ disbursement_method              <fct> Cash, Cash, Cash, Cash, Cash, Cash, C…
$ balance                          <dbl> 27015.86, 4651.37, 1824.63, 18853.26,…
$ paid_total                       <dbl> 1999.330, 499.120, 281.800, 3312.890,…
$ paid_principal                   <dbl> 984.14, 348.63, 175.37, 2746.74, 1569…
$ paid_interest                    <dbl> 1015.19, 150.49, 106.43, 566.15, 754.…
$ paid_late_fees                   <dbl> 0, 0, 0, 0, 0, 0, 0, 0, 0, 0, 0, 0, 0…

Variable types

variable type
loan_amount numerical, continuous
interest_rate numerical, continuous
term numerical, discrete
grade categorical, ordinal
state categorical, not ordinal
annual_income numerical, continuous
homeownership categorical, not ordinal
debt_to_income numerical, continuous

Visualizing numerical data

Describing shapes of numerical distributions

  • shape:
    • skewness: right-skewed, left-skewed, symmetric (skew is to the side of the longer tail)
    • modality: unimodal, bimodal, multimodal, uniform
  • center: mean (mean), median (median), mode (not always useful)
  • spread: range (range), standard deviation (sd), inter-quartile range (IQR)
  • unusual observations

Histogram

ggplot(loans, aes(x = loan_amount)) +
  geom_histogram()
`stat_bin()` using `bins = 30`. Pick better value with `binwidth`.

Histograms and binwidth

binwidth = 1000

ggplot(loans, aes(x = loan_amount)) +
  geom_histogram(binwidth = 1000)

Histograms and binwidth

binwidth = 5000

ggplot(loans, aes(x = loan_amount)) +
  geom_histogram(binwidth = 5000)

Histograms and binwidth

binwidth = 20000

ggplot(loans, aes(x = loan_amount)) +
  geom_histogram(binwidth = 20000)

Customizing histograms

Fill with a categorical variable

ggplot(loans, aes(x = loan_amount,
                  fill = homeownership)) +
  geom_histogram(binwidth = 5000,
                 alpha = 0.5) +
  labs(
    x = "Loan amount ($)",
    y = "Frequency",
    title = "Amounts of Lending Club loans"
  )

Facet with a categorical variable

Box plot

ggplot(loans, aes(x = interest_rate)) +
  geom_boxplot()

Box plot and outliers

ggplot(loans, aes(x = annual_income)) +
  geom_boxplot()

Adding a categorical variable

ggplot(loans, aes(x = interest_rate,
                  y = grade)) + #<<
  geom_boxplot() +
  labs(
    x = "Interest rate (%)",
    y = "Grade",
    title = "Interest rates of Lending Club loans",
    subtitle = "by grade of loan" #<<
  )

Relationships between numerical variables

Scatterplot

ggplot(loans, aes(x = debt_to_income, y = interest_rate)) +
  geom_point()

Hex plot

ggplot(loans %>% filter(debt_to_income < 100),
       aes(x = debt_to_income, y = interest_rate)) +
  geom_hex()

Contour plot

v <- ggplot(faithfuld, aes(waiting, eruptions, z = density))
v + geom_contour()

Visualising categorical data

Bar plot

ggplot(loans, aes(x = homeownership)) +
  geom_bar()

Segmented bar plot

ggplot(loans, aes(x = homeownership,
                  fill = grade)) + #<<
  geom_bar()

Segmented bar plot

ggplot(loans, aes(x = homeownership, fill = grade)) +
  geom_bar(position = "fill") #<<

Which bar plot is a more useful representation for visualizing the relationship between homeownership and grade?

Customizing bar plots

Customizing bar plots

Customizing bar plots

Relationships between numerical and categorical variables

Already talked about…

  • Colouring and faceting histograms and density plots
  • Side-by-side box plots

Violin plots

ggplot(loans, aes(x = homeownership, y = loan_amount)) +
  geom_violin()

Ridge plots

library(ggridges)
ggplot(loans, aes(x = loan_amount, y = grade, fill = grade, color = grade)) +
  geom_density_ridges(alpha = 0.5)

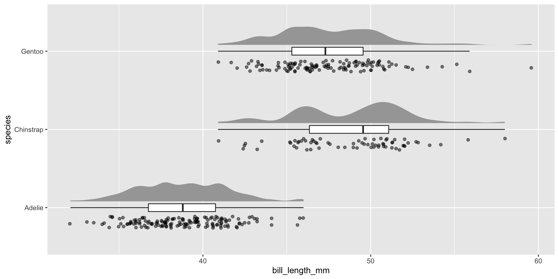
Raincloud plots

library(ggdist)
library(gghalves)
ggplot(penguins, aes(species, bill_length_mm)) +
  ggdist::stat_halfeye(adjust = .5, width = .3, .width = 0, justification = -.3, point_colour = NA) +
  geom_boxplot(width = .1, outlier.shape = NA) +
  gghalves::geom_half_point(side = "l", range_scale = .4, alpha = .5) +
  coord_flip()

QQ-plots

Determines if data conform to a theoretical distribution.

Pair plots

  • Scatterplot for each pair of variables.
  • Measures of correlation
library(GGally)
ggpairs(penguins, columns=3:6)

Über Pair plot

Visualizing spatial data

Maps are extremely useful (and intuitive) ways of exploring spatial relationships among variables in our data.

Transformation

  • Outliers, non-normality, heteroscedasticity and nonlinearity are the most common reasons for transformation.
  • Removing outliers is an option (with sensitivity analysis)
  • All response and explanatory variables can be transformed differently.
  • Choice of transformation depends on analytical design:
    • GLS, GLM, GAM Poisson can handle outliers
    • GAM and iterative least squares can handle nonlinearity

Nonlinearity

  • If scatterplot indicates nonlinear patterns, consider transforming one or both variables.
  • Many possible transformations, with lots of guidance on how to proceed with these.
  • GF advice: Consider the theoretical basis for transformations and think about appropriate methods before trying to ‘force’ linearity to apply cookbooks.

Standardizations

  • If variables for comparison are on different scales, conversion to a common scale may be an option.
  • Some analyses (e.g., correlation, PCA) are self- standardized.
  • Centering (standard ‘location’):

  • Scaling1 (standard ‘spread’):

Standardizations

Standardizations

Standardizations

Exploring relationships

‘Even if you don’t see it, it might still be there.’

Plot your data as many ways as you can, particularly with respect to other variables in the dataset.

Simpson’s paradox

  • Simpson’s paradox illustrates the effect that omission of an explanatory variable can have on the measure of association between another explanatory variable and a response variable

  • The inclusion of a third variable in the analysis can change the apparent relationship between the other two variables

Simpson’s paradox

Simpson’s paradox

Simpson’s paradox

Simpson’s paradox

Summary

Take a peep at your data!

Plot the data, then plot it a different way, and again…

Reasons for data transformation:

  • Reduce effect of outliers

  • Improve linearity between variables

  • Make error structure closer to normal

  • Stabilize relationship between mean and variance

Summary

General approach:

  • Apply all explorations to raw data

  • If explanatory data have outliers, then transform

  • Apply analytical technique and explore residuals

  • If residuals have outliers, heterogeneity or patterns, then transform

  • Choose the best transformation by trial & error, automatic selection or rules of thumb (e.g., sqrt for counts, arcsin for proportions, log for multiplicative relationships)

Supplemental Reading

Introduction to Modern Statistics Chap 4-6

R for Data Science, Chap 3

Communicating with Data, Chap 3-4